I am running a simple channel flow at Re_t = 395, Pr=0.71 and comparing the results against the DNS database of Kawamura.
A constant heat flux is imposed at the bottom and top walls.
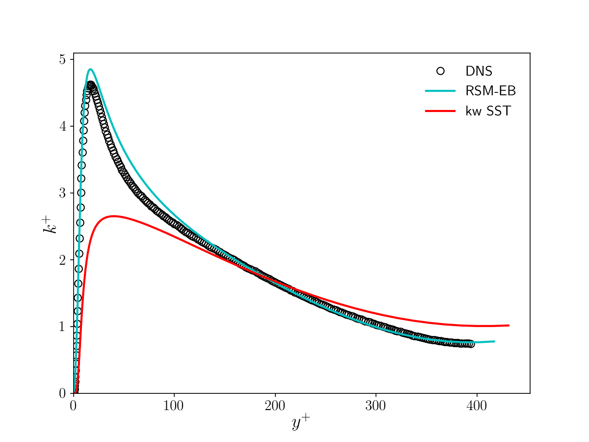
With the k-omega SST model I got a reasonable prediction of both the flow and the temperature fields. However, with the RSM-EB I am getting good results for the flow field but the temperature is somehow off compared to the DNS and the k-omega SST results (see attached plots). Is anyone aware of any possible reasons for this?
For both the k-omega SST and the RSM-EB calculations I am using Code_Saturne v4.0.5 and the a SGDH closure for the turbulent heat fluxes. I have repeated the test on v5.1.3 and the problem is still there. I am imposing periodicity in the streamwise direction for both the momentum and the thermal fields with suitable source terms via cs_user_source_terms.f90. However I do not think this is the reason behind the issue since this is working fine with the k-omega SST model (and also with the RSM-EB model with respect to the flow-field).
Many thanks in advance for any useful tip!
Andrea
Temperature field with the RSM-EB model
Forum rules
Please read the forum usage recommendations before posting.
Please read the forum usage recommendations before posting.
-
Yvan Fournier
- Posts: 4283
- Joined: Mon Feb 20, 2012 3:25 pm
Re: Temperature field with the RSM-EB model
Hello,
Thanks for reporting this. I believe there is still ongoing work on the thermal aspects of the EB-RSM model, but am bot sure. I'll remind a colleague who knows theses models better than I do to check the forum...
Best regards,
Yvan
Thanks for reporting this. I believe there is still ongoing work on the thermal aspects of the EB-RSM model, but am bot sure. I'll remind a colleague who knows theses models better than I do to check the forum...
Best regards,
Yvan
Re: Temperature field with the RSM-EB model
Hi Yvan,
thanks for the reply. Please let me know when you have any update on this, and also if any other information is needed from my side.
Andrea
thanks for the reply. Please let me know when you have any update on this, and also if any other information is needed from my side.
Andrea
-
Jean-Francois Wald
- Posts: 9
- Joined: Fri Apr 27, 2018 2:33 pm
Re: Temperature field with the RSM-EB model
Dear Andrea,
I think the behavior you get is typical of the use of EBRSM turbulence model combined with SGDH for temperature. The latter is intrinsically wrong when used with low Reynolds RSM models.
In this case nu_t is computed through its k-eps expression C_mu k^2/epsilon, but this expression is wrong close to the wall.
To get better results, one should for example apply a Van Driest damping function on this value to ensure a correct behavior.
As it is, there is no hope to get good results using SGDH and EBRSM. The use of GGDH is highly recommended as it is physically correct close to walls and gives good results in most situations. Can you try it ?
I hope this will solve the issue. If not, do not hesitate to post it here.
Best regards,
Jean-François
I think the behavior you get is typical of the use of EBRSM turbulence model combined with SGDH for temperature. The latter is intrinsically wrong when used with low Reynolds RSM models.
In this case nu_t is computed through its k-eps expression C_mu k^2/epsilon, but this expression is wrong close to the wall.
To get better results, one should for example apply a Van Driest damping function on this value to ensure a correct behavior.
As it is, there is no hope to get good results using SGDH and EBRSM. The use of GGDH is highly recommended as it is physically correct close to walls and gives good results in most situations. Can you try it ?
I hope this will solve the issue. If not, do not hesitate to post it here.
Best regards,
Jean-François
Re: Temperature field with the RSM-EB model
Hi Jean-François,
thanks for the reply. Indeed using the GGDH solves the problem. I guess this is because the costant ctheta in the GGDH expression has been calibrated to be used with RSM models.
I have also observed it is possible to obtain good results with SGDH by tuning the value of the turbulent Prandtl number
Prt to be used with the RSM-EB (although I do not reccomend to do ti!) . The default value of Prt is (which is equal to 1.0 in code saturne) is indeed calibrated to work fine with two-equation eddy'-viscosity model.
Regards,
Andrea
thanks for the reply. Indeed using the GGDH solves the problem. I guess this is because the costant ctheta in the GGDH expression has been calibrated to be used with RSM models.
I have also observed it is possible to obtain good results with SGDH by tuning the value of the turbulent Prandtl number
Prt to be used with the RSM-EB (although I do not reccomend to do ti!) . The default value of Prt is (which is equal to 1.0 in code saturne) is indeed calibrated to work fine with two-equation eddy'-viscosity model.
Regards,
Andrea