Umist_wall_function

Questions and remarks about code_saturne usage
Forum rules
Please read the forum usage recommendations before posting.
Post Reply
C0st4s
Posts: 48
Joined: Fri May 11, 2018 12:21 pm

Umist_wall_function

Post by C0st4s »

Hello,

I wanted some help to implement the Umist wall function for the k-epsilon model for buoyant flows. What are the related subroutines needed and if there are any related to the examples, please let me know.

Thanks,
Costas
Yvan Fournier
Posts: 4274
Joined: Mon Feb 20, 2012 3:25 pm

Re: Umist_wall_function

Post by Yvan Fournier »

Hello,

There are quite a few posts relevant to modifying wall functions on this forum, so I recommend using the search feature first.

Regards,

Yvan
C0st4s
Posts: 48
Joined: Fri May 11, 2018 12:21 pm

Re: Umist_wall_function

Post by C0st4s »

Dear Yvan,

I have figured out that what is needed is to modify the boundaries in clptur.90, cs_wall_functions.c/h. Though I was wondering if need to modify also the subroutines of the model turbke.f90 like the production terms. Any ideas?


Thanks
Yvan Fournier
Posts: 4274
Joined: Mon Feb 20, 2012 3:25 pm

Re: Umist_wall_function

Post by Yvan Fournier »

Hello,

I am not expert in turbulence models, so I'll remind a colleague to check your posts...

Best regards,

Yvan
C0st4s
Posts: 48
Joined: Fri May 11, 2018 12:21 pm

Re: Umist_wall_function

Post by C0st4s »

That would be great!thanks.
Meanwhile something that will help me is if you can explain what does rcprod in the velocity boundary conditions and pimp in the k-epsilon boundary in the clptur.f90.
Jean-Francois Wald
Posts: 9
Joined: Fri Apr 27, 2018 2:33 pm

Re: Umist_wall_function

Post by Jean-Francois Wald »

Hello !

I strongly advise to read the clptur section in the theory guide (code_saturne info -g theory) you will have some better insight in how wall functions are computed. All boundary conditions are imposed through the clptur routine.
Whether you have to modify or not the production in the turbke tourine depends on what your are trying to do. Basically, the production is imposed so that the velocity gradient fits the log law so there is nothing to modify in the turbke routine.

Could you be more specific and maybe post some code snippets in order for me to answer more precisely ?

Regards,

Jean-François
C0st4s
Posts: 48
Joined: Fri May 11, 2018 12:21 pm

Re: Umist_wall_function

Post by C0st4s »

Hi,
I have read the clptur.f90 but I need some explanations.
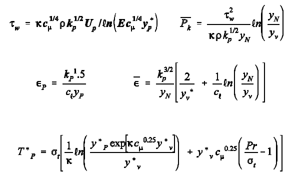
Firstly, I was looking at the formulation of the standard wall from the literature function
Pk_on_cell.png
and the one implemented in Code Saturne. My question is where are the Pk and average epsilon terms go in the code if the are the same ?

These terms appear also in the of Craft and Gerasimov et al.(2002)
paper_Gerasimov.png
and should be incorporate in k and epsilon equation as source terms .
From the code in the clptur.f90 file I figure that the velocity boundary section concerning (pimp and qimp) should be somehow modified and similarly for the k -epsilon boundary section .
Are those terms found in the turbke.f90?
My simulation: simple channel flow with periodicity and pressure gradient imposed.
Thank you in advance,
Costas
Last edited by C0st4s on Wed Jul 03, 2019 8:11 am, edited 1 time in total.
Jean-Francois Wald
Posts: 9
Joined: Fri Apr 27, 2018 2:33 pm

Re: Umist_wall_function

Post by Jean-Francois Wald »

Those 2 layers "standard" wall functions are not the one implemented in the code. Again, please have a look at the Theory guide that you can access via the command line I gave you before or here. This will give you an overview of what is implemented in clptur.f90 and cs_wallfunctions.c/.h

As explained in the theory guide the production is controlled via the cofimp coeffcient.
If you want to explicitly impose a source term as the production, then you can modify Ptheo in the theory guide and derive a new cofimp that corresponds to what you need.

Also it is always possible to modify the source term directly in the turbke routine in a first attempt.
C0st4s
Posts: 48
Joined: Fri May 11, 2018 12:21 pm

Re: Umist_wall_function

Post by C0st4s »

Dear Jean-Francois Wald,

Thank you for your reply. Another question that I have is what is the value imposed regarding the dissipation rate of the near wall node? As far as I understood, a neumann boundary condition is imposed for the dissipation rate of the flux concerning the face node, .

Best regards,
Costas


Last bumped by C0st4s on Mon Apr 08, 2019 9:44 pm.
Post Reply